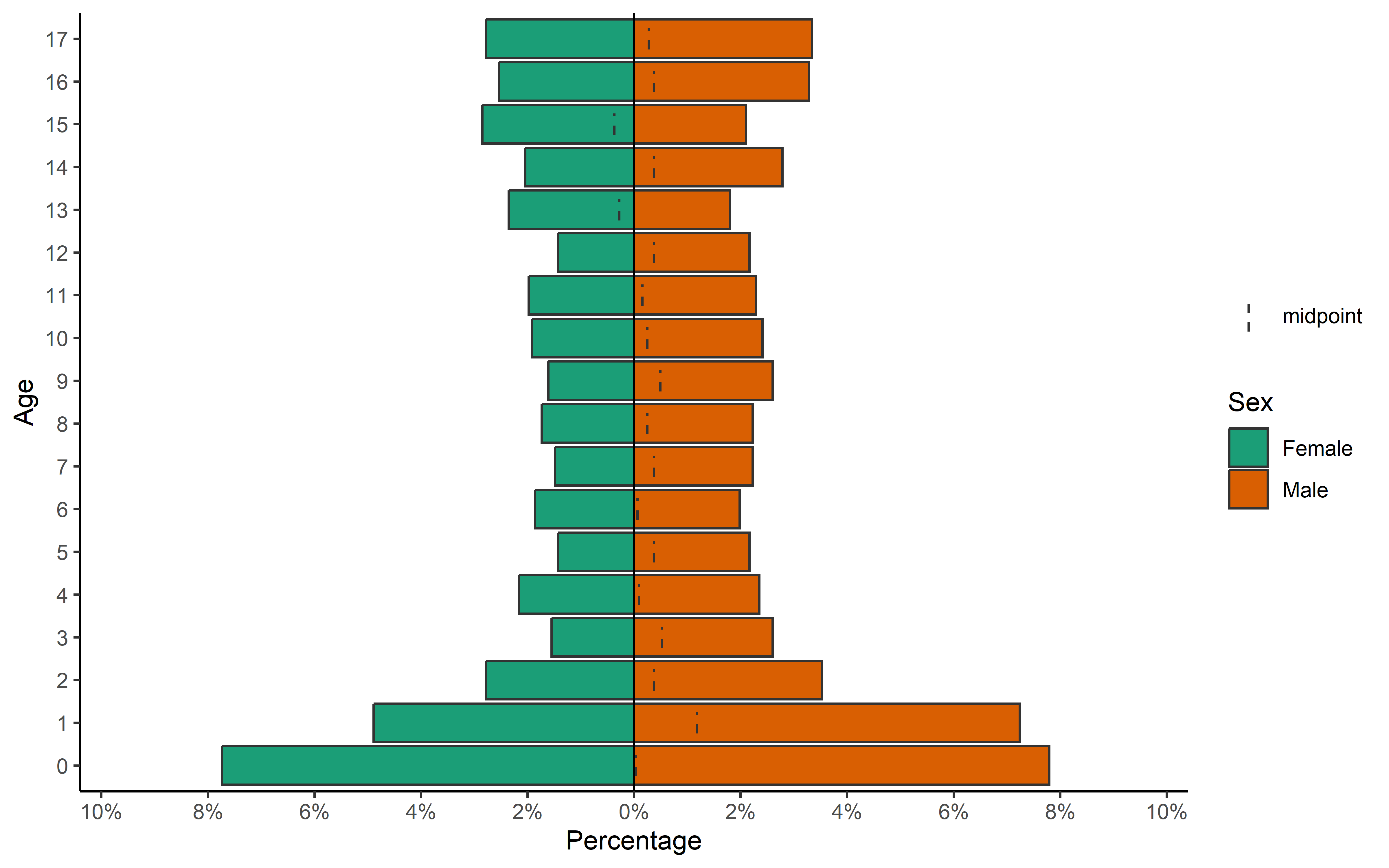
| Variables | N = 315,0461 | Average monthly prevalence per 1000 inhabitants |
|---|---|---|
| Overall | 315,046 (100%) | 0.810 |
| Age Group | ||
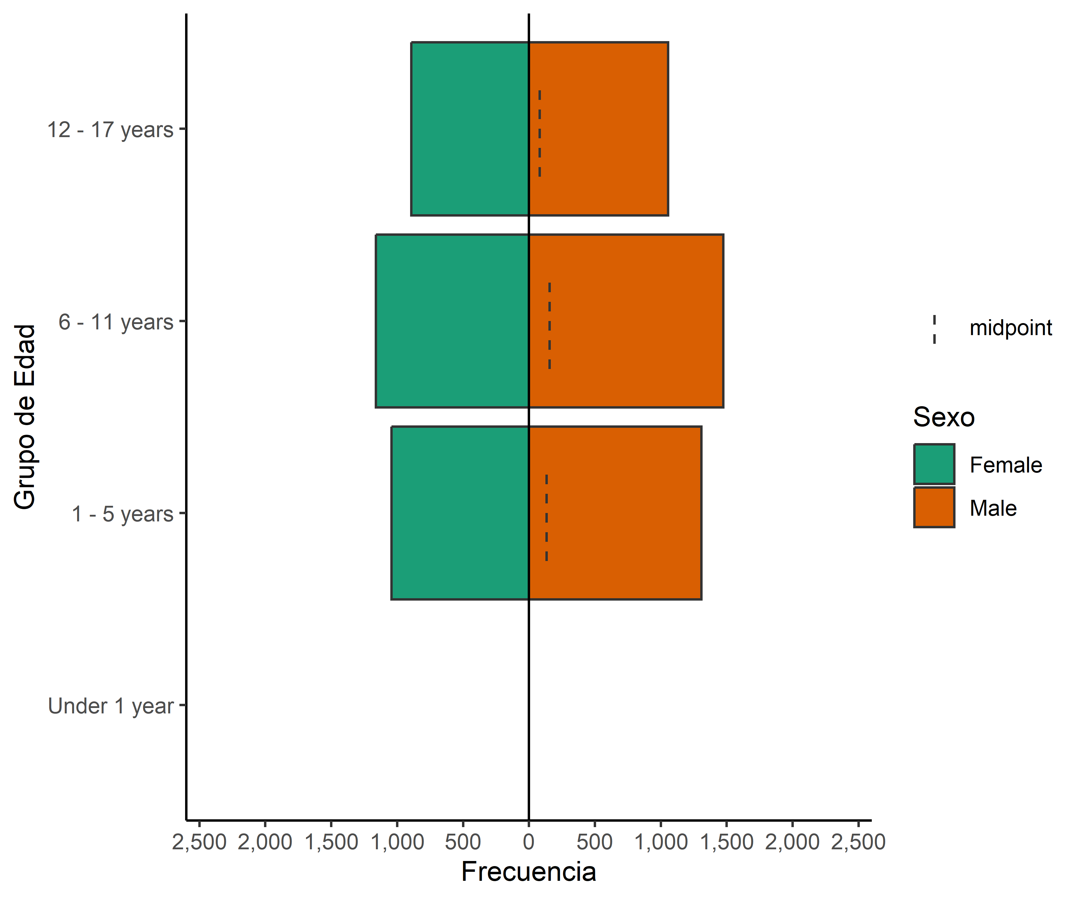
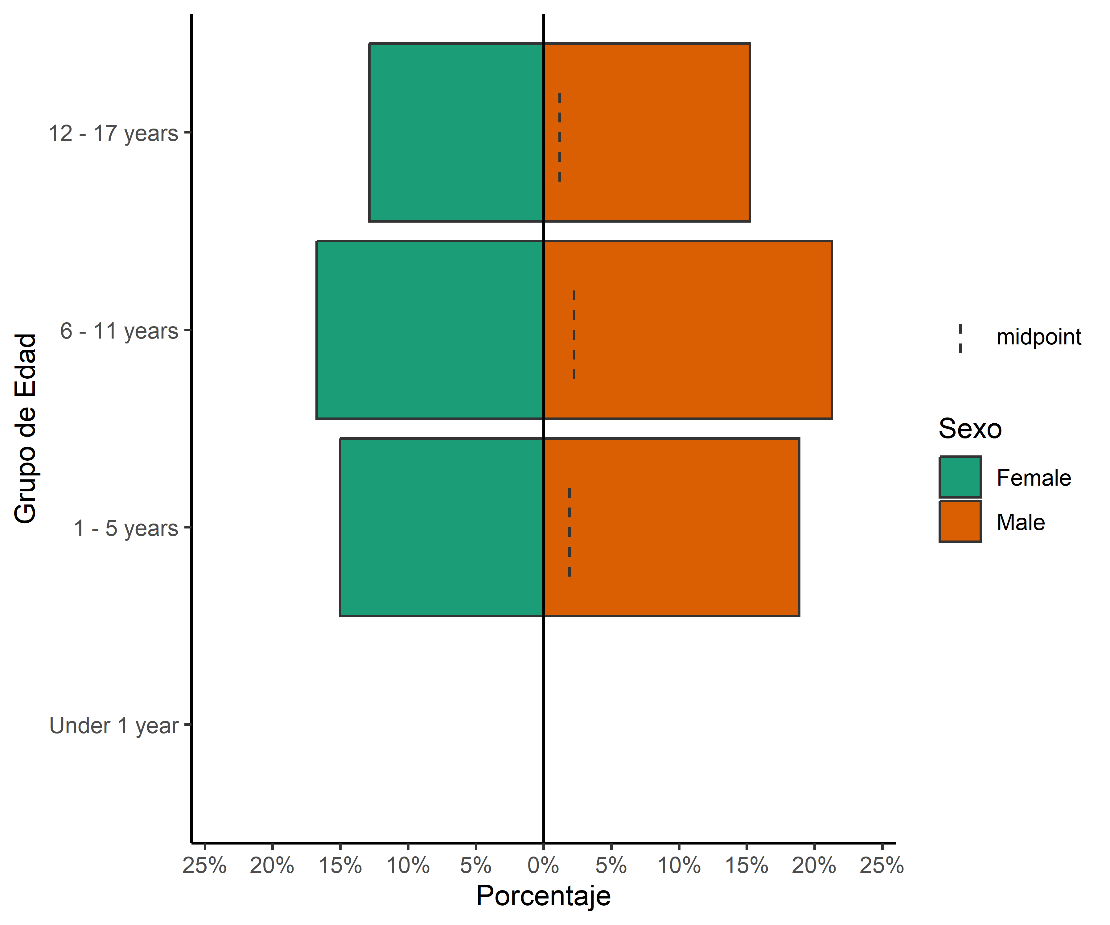
| Under 1 year | 16,537 (5.2%) | 0.826 |
| 1 - 5 years | 45,573 (14%) | 0.413 |
| 6 - 11 years | 91,657 (29%) | 0.706 |
| 12 - 17 years | 161,279 (51%) | 1.252 |
| Sex | ||
| Female | 159,581 (51%) | 0.824 |
| Male | 155,465 (49%) | 0.796 |
| COVID-19 wave | ||
| 1 (Mar – Oct 2020) | 59,889 (19%) | 0.782 |
| 2 (Nov 2020 – Oct 2021) | 72,471 (23%) | 0.592 |
| 3 (Nov 2021 – Apr 2022) | 106,291 (34%) | 1.844 |
| 4 (May 2022 – Oct 2022) | 58,179 (18%) | 1.016 |
| 5 (Nov 2022 – Jun 2023) | 18,143 (5.8%) | 0.235 |
| No data | 73 | |
| Natural Regions | ||
| Coast | 234,478 (74%) | 1.008 |
| Highlands | 53,944 (17%) | 0.488 |
| Jungle | 26,624 (8.5%) | 0.578 |
| Macroregions | ||
| Center | 72,047 (23%) | 0.833 |
| East | 24,421 (7.8%) | 0.555 |
| Metropolitan Lima and Callao | 118,357 (38%) | 1.126 |
| North | 50,563 (16%) | 0.564 |
| South | 49,658 (16%) | 0.784 |
| Poverty level | ||
| 1 (0-19.9%) | 233,362 (78%) | 1.062 |
| 2 (20-39.9%) | 49,734 (17%) | 0.485 |
| 3 (40-59.9%) | 15,063 (5.0%) | 0.287 |
| 4 (60-100%) | 1,476 (0.5%) | 0.138 |
| No data | 15,411 | |
| Unsatisfied basic needs level | ||
| 1 (0-19.9%) | 189,560 (63%) | 1.118 |
| 2 (20-39.9%) | 80,980 (27%) | 0.586 |
| 3 (40-59.9%) | 17,980 (6.0%) | 0.334 |
| 4 (60-100%) | 11,115 (3.7%) | 0.403 |
| No data | 15,411 | |
| 1 n (%) | ||
Disponibilidad de los datos
Actualmente los datos disponibles para el análisis tienen las siguientes situaciones:
Fallecidos COVID-19: Ahora mismo, esta data (Fallecidos por COVID-19 - [Ministerio de Salud - MINSA]) se encuentra actualizada en el portal de datos abiertos. Cuenta con 220 816 fallecidos que van desde 2020-03-03 al 2024-02-03.
Casos positivos COVID-19: Esta base de datos ya fue corregida y actualizada recientemente en la plataforma de datos abiertos. Cuenta con 4 548 255 casos positivos que van desde 2020-03-06 al 2023-12-31. Sin embargo, tiene el inconveniente de no tener registrado el
id_personaque es indispensable para poder calcular los casos nuevos positivos COVID-19. Se usará por ahora una base actualizada a junio del 2023 con algunos casos menos, pero que si tiene esta información. El enlace de descarga de esa data desde el mismo Minsa ya no se encuentra disponible, pero si está en este repositorio Github: https://github.com/jmcastagnetto/covid-19-peru-limpiar-datos-minsa/tree/main/datos/originalesHospitalizados por COVID-19: Esta data contiene a la vez información de la vacunación y fallecimiento de quienes fueron hospitalizados. Cuenta con 150 791 casos hospitalizados que van desde 2019-06-06 al 2024-01-03.
Vacunación COVID-19: Esta data contiene información de vacuna. Cuenta con 91 838 312 registros de vacunación que van desde 2020-04-27 al 2023-12-30.
Población Estimada: Esta data contiene las estimaciones poblacionales desde el 2020 al 2023 realizada por REUNIS. Presenta subdivisiones por distrito, edad y sexo. Sin embargo, la versión del año 2021, no tiene subdivisión por sexo, por lo que se usa la estimación realizada por el INEI que si lo contiene.
Para términos de uniformidad, temporalmente se restringirán todos los datos a junio de 2023.
Positivos - Prevalencia COVID-19
Para la estimación de la prevalencia, se obtuvo los datos poblacionales por distrito, sexo y grupo de edad para 2020, 2021, 2022 y 2023. A partir de ello, se calculó una prevalencia promedio mensual (Ecuación 1) que luego fue promediada para obtener un único valor por distrito, sexo y grupo de edad. Finalmente, se reporta la prevalencia promedio mensual por 1000 habitantes en anualidades (Ecuación 2) u olas covid, a fin de tener una lectura con menor términos decimales.
\[ \text{Prevalencia promedio mensual}_i = \frac{\text{Promedio de Número de casos en el mes del año } i}{\text{Población en el año } i} \tag{1}\]
Donde:
- \(\text{Número de casos en el año } i\) es el número de positivos COVID-19 en un año en específico (2020-2023)
- \(\text{Población en el año } i\) es la población que puede ser afectada por COVID-19 en un año en específico (2020-2023)
\[ \text{Prevalencia Promedio mensual por 1000 habitantes} = \left( \frac{\sum_{i=2020}^{2023} \text{Prevalencia promedio mensual}_i}{\text{Número de Años}} \right) \times 1000 \tag{2}\]
Vista general
| Level | Group | Emmean | Se | Df | Lower.cl | Upper.cl | .Group |
|---|---|---|---|---|---|---|---|
| grupo_edad | 1 - 5 years | 0.413 | 0.206 | 52.745 | -0.000 | 0.826 | a |
| grupo_edad | 6 - 11 years | 0.706 | 0.206 | 52.745 | 0.293 | 1.119 | ab |
| grupo_edad | Under 1 year | 0.826 | 0.206 | 52.745 | 0.413 | 1.238 | b |
| grupo_edad | 12 - 17 years | 1.252 | 0.206 | 52.745 | 0.839 | 1.664 | c |
| sexo | Male | 0.796 | 0.201 | 39.051 | 0.390 | 1.202 | a |
| sexo | Female | 0.824 | 0.201 | 39.051 | 0.418 | 1.230 | b |
| ola_covid | 5 (Nov 2022 – Jun 2023) | 0.235 | 0.435 | 35.000 | -0.648 | 1.118 | a |
| ola_covid | 2 (Nov 2020 – Oct 2021) | 0.592 | 0.355 | 35.000 | -0.129 | 1.313 | a |
| ola_covid | 1 (Mar – Oct 2020) | 0.782 | 0.435 | 35.000 | -0.101 | 1.665 | a |
| ola_covid | 4 (May 2022 – Oct 2022) | 1.016 | 0.502 | 35.000 | -0.004 | 2.035 | a |
| ola_covid | 3 (Nov 2021 – Apr 2022) | 1.844 | 0.502 | 35.000 | 0.824 | 2.864 | a |
| cuartil_pobreza | 4 | 0.104 | 0.153 | 103.028 | -0.199 | 0.407 | a |
| cuartil_pobreza | 3 | 0.287 | 0.149 | 97.243 | -0.008 | 0.582 | a |
| cuartil_pobreza | 2 | 0.474 | 0.150 | 99.073 | 0.177 | 0.772 | a |
| cuartil_pobreza | 1 | 1.062 | 0.149 | 97.243 | 0.767 | 1.357 | b |
| cuartil_nbi | 3 | 0.334 | 0.170 | 83.048 | -0.004 | 0.672 | a |
| cuartil_nbi | 4 | 0.389 | 0.171 | 84.741 | 0.049 | 0.729 | a |
| cuartil_nbi | 2 | 0.586 | 0.170 | 83.048 | 0.248 | 0.924 | a |
| cuartil_nbi | 1 | 1.118 | 0.170 | 83.048 | 0.780 | 1.456 | b |
| region | Highlands | 0.488 | 0.181 | 67.051 | 0.127 | 0.848 | a |
| region | Jungle | 0.578 | 0.181 | 67.051 | 0.218 | 0.939 | a |
| region | Coast | 1.008 | 0.181 | 67.051 | 0.648 | 1.369 | b |
| macrorregion | East | 0.555 | 0.204 | 54.864 | 0.145 | 0.965 | a |
| macrorregion | North | 0.564 | 0.204 | 54.864 | 0.154 | 0.974 | a |
| macrorregion | South | 0.784 | 0.204 | 54.864 | 0.374 | 1.194 | ab |
| macrorregion | Center | 0.833 | 0.204 | 54.864 | 0.423 | 1.243 | ab |
| macrorregion | Metropolitan Lima and Callao | 1.126 | 0.204 | 54.864 | 0.716 | 1.536 | b |
| Variables | 1 (Mar – Oct 2020) N = 59,8891 |
2 (Nov 2020 – Oct 2021) N = 72,4711 |
3 (Nov 2021 – Apr 2022) N = 106,2911 |
4 (May 2022 – Oct 2022) N = 58,1791 |
5 (Nov 2022 – Jun 2023) N = 18,1431 |
|---|---|---|---|---|---|
| Overall | 59,889 (0.782) | 72,471 (0.592) | 106,291 (1.844) | 58,179 (1.016) | 18,143 (0.235) |
| Age Group | |||||
| Under 1 year | 5,172 (1.263) | 2,687 (0.410) | 4,515 (1.554) | 2,391 (0.829) | 1,769 (0.462) |
| 1 - 5 years | 12,647 (0.568) | 9,126 (0.272) | 15,816 (0.964) | 6,196 (0.378) | 1,781 (0.082) |
| 6 - 11 years | 16,363 (0.644) | 17,487 (0.427) | 37,793 (1.956) | 16,573 (0.863) | 3,429 (0.131) |
| 12 - 17 years | 25,707 (1.036) | 43,171 (1.043) | 48,167 (2.537) | 33,019 (1.755) | 11,164 (0.439) |
| Sex | |||||
| Female | 30,997 (0.820) | 36,479 (0.590) | 53,247 (1.859) | 29,618 (1.042) | 9,204 (0.241) |
| Male | 28,892 (0.745) | 35,992 (0.594) | 53,044 (1.829) | 28,561 (0.989) | 8,939 (0.229) |
| Natural Regions | |||||
| Coast | 39,257 (0.872) | 50,792 (0.694) | 84,967 (2.453) | 44,551 (1.294) | 14,841 (0.318) |
| Highlands | 9,238 (0.416) | 14,791 (0.407) | 17,008 (1.066) | 10,383 (0.657) | 2,521 (0.121) |
| Jungle | 11,394 (1.216) | 6,888 (0.523) | 4,316 (0.616) | 3,245 (0.460) | 781 (0.083) |
| Macroregions | |||||
| Center | 13,080 (0.750) | 16,962 (0.604) | 24,239 (1.923) | 13,240 (1.060) | 4,502 (0.270) |
| East | 10,435 (1.164) | 6,462 (0.513) | 3,977 (0.595) | 2,849 (0.424) | 698 (0.078) |
| Metropolitan Lima and Callao | 20,524 (1.050) | 26,677 (0.777) | 40,633 (2.591) | 22,891 (1.478) | 7,608 (0.361) |
| North | 9,196 (0.513) | 11,674 (0.428) | 18,917 (1.415) | 8,639 (0.648) | 2,120 (0.118) |
| South | 6,654 (0.524) | 10,696 (0.524) | 18,525 (1.992) | 10,560 (1.140) | 3,215 (0.260) |
| Poverty level | |||||
| 1 | 41,858 (0.988) | 50,926 (0.777) | 81,317 (2.439) | 45,101 (1.351) | 14,099 (0.313) |
| 2 | 11,357 (0.619) | 13,338 (0.402) | 14,922 (0.968) | 7,877 (0.515) | 2,228 (0.108) |
| 3 | 4,292 (0.401) | 4,175 (0.220) | 4,077 (0.578) | 2,121 (0.306) | 398 (0.043) |
| 4 | 320 (0.148) | 426 (0.106) | 360 (0.227) | 294 (0.188) | 76 (0.048) |
| No data | 2,062 | 3,606 | 5,615 | 2,786 | 1,342 |
| Unsatisfied basic needs level | |||||
| 1 | 30,151 (0.937) | 41,132 (0.803) | 67,921 (2.645) | 38,237 (1.490) | 12,081 (0.348) |
| 2 | 18,103 (0.652) | 19,567 (0.445) | 25,667 (1.271) | 13,641 (0.681) | 3,972 (0.147) |
| 3 | 4,861 (0.446) | 5,211 (0.291) | 4,882 (0.645) | 2,491 (0.334) | 533 (0.053) |
| 4 | 4,712 (0.951) | 2,955 (0.326) | 2,206 (0.546) | 1,024 (0.256) | 215 (0.040) |
| No data | 2,062 | 3,606 | 5,615 | 2,786 | 1,342 |
| 1 n (incidence) | |||||
Gráfico de positivos (serie de tiempo) - Menores de 18 años
Gráfico de Incidencia (serie de tiempo) - Menores de 18 años
Pirámide frecuencia - Edades
Pirámide proporcional - Edades
Departamento
| Departamento | Rate |
|---|---|
| Amazonas | 0.802 |
| Ancash | 0.903 |
| Apurimac | 0.587 |
| Arequipa | 1.264 |
| Ayacucho | 0.394 |
| Cajamarca | 0.452 |
| Callao | 0.782 |
| Cusco | 0.518 |
| Huancavelica | 0.466 |
| Huanuco | 0.430 |
| Ica | 1.085 |
| Junin | 0.740 |
| La Libertad | 0.520 |
| Lambayeque | 0.517 |
| Lima | 1.232 |
| Loreto | 0.459 |
| Madre De Dios | 1.333 |
| Moquegua | 2.615 |
| Pasco | 0.719 |
| Piura | 0.670 |
| Puno | 0.337 |
| San Martin | 0.657 |
| Tacna | 1.416 |
| Tumbes | 1.215 |
| Ucayali | 0.620 |
Departamento y sexo
| Departamento | Female | Male |
|---|---|---|
| Amazonas | 0.874 | 0.733 |
| Ancash | 0.969 | 0.862 |
| Apurimac | 0.630 | 0.559 |
| Arequipa | 1.252 | 1.308 |
| Ayacucho | 0.399 | 0.411 |
| Cajamarca | 0.475 | 0.466 |
| Callao | 0.820 | 0.785 |
| Cusco | 0.533 | 0.504 |
| Huancavelica | 0.498 | 0.473 |
| Huanuco | 0.469 | 0.414 |
| Ica | 1.115 | 1.083 |
| Junin | 0.768 | 0.731 |
| La Libertad | 0.545 | 0.522 |
| Lambayeque | 0.540 | 0.495 |
| Lima | 1.227 | 1.238 |
| Loreto | 0.505 | 0.436 |
| Madre De Dios | 1.538 | 1.313 |
| Moquegua | 2.590 | 2.641 |
| Pasco | 0.740 | 0.717 |
| Piura | 0.699 | 0.659 |
| Puno | 0.346 | 0.338 |
| San Martin | 0.730 | 0.623 |
| Tacna | 1.456 | 1.414 |
| Tumbes | 1.325 | 1.237 |
| Ucayali | 0.677 | 0.676 |
Departamento y edad
| Departamento | Under 1 Year | 1 - 5 Years | 6 - 11 Years | 12 - 17 Years |
|---|---|---|---|---|
| Amazonas | 1.038 | 0.546 | 0.677 | 1.283 |
| Ancash | 0.710 | 0.428 | 0.719 | 1.579 |
| Apurimac | 0.824 | 0.341 | 0.493 | 0.977 |
| Arequipa | 1.278 | 0.645 | 1.179 | 1.922 |
| Ayacucho | 0.583 | 0.283 | 0.312 | 0.638 |
| Cajamarca | 0.683 | 0.254 | 0.387 | 0.743 |
| Callao | 0.806 | 0.426 | 0.720 | 1.340 |
| Cusco | 0.830 | 0.267 | 0.377 | 0.855 |
| Huancavelica | 0.988 | 0.323 | 0.425 | 0.687 |
| Huanuco | 0.597 | 0.258 | 0.386 | 0.698 |
| Ica | 1.032 | 0.569 | 1.055 | 1.613 |
| Junin | 0.978 | 0.459 | 0.592 | 1.132 |
| La Libertad | 0.450 | 0.253 | 0.503 | 0.853 |
| Lambayeque | 0.487 | 0.232 | 0.469 | 0.876 |
| Lima | 1.200 | 0.578 | 1.151 | 1.902 |
| Loreto | 0.646 | 0.378 | 0.417 | 0.651 |
| Madre De Dios | 2.436 | 0.999 | 1.172 | 2.149 |
| Moquegua | 3.323 | 1.774 | 2.294 | 3.788 |
| Pasco | 1.362 | 0.465 | 0.616 | 1.121 |
| Piura | 0.759 | 0.376 | 0.676 | 0.982 |
| Puno | 0.844 | 0.248 | 0.253 | 0.470 |
| San Martin | 1.240 | 0.521 | 0.555 | 0.967 |
| Tacna | 1.664 | 0.793 | 1.389 | 2.292 |
| Tumbes | 1.712 | 0.857 | 1.179 | 1.800 |
| Ucayali | 0.994 | 0.507 | 0.588 | 1.043 |
Departamento, sexo y grupo de edad
| Departamento | Sexo | Under 1 Year | 1 - 5 Years | 6 - 11 Years | 12 - 17 Years |
|---|---|---|---|---|---|
| Amazonas | Female | 1.250 | 0.569 | 0.729 | 1.564 |
| Amazonas | Male | 1.194 | 0.576 | 0.748 | 1.079 |
| Ancash | Female | 0.815 | 0.445 | 0.702 | 1.768 |
| Ancash | Male | 0.791 | 0.434 | 0.736 | 1.433 |
| Apurimac | Female | 0.930 | 0.382 | 0.529 | 1.159 |
| Apurimac | Male | 0.917 | 0.384 | 0.593 | 0.882 |
| Arequipa | Female | 1.304 | 0.625 | 1.127 | 1.981 |
| Arequipa | Male | 1.506 | 0.664 | 1.294 | 1.910 |
| Ayacucho | Female | 0.692 | 0.284 | 0.310 | 0.761 |
| Ayacucho | Male | 0.733 | 0.336 | 0.342 | 0.592 |
| Cajamarca | Female | 0.687 | 0.256 | 0.396 | 0.849 |
| Cajamarca | Male | 0.784 | 0.268 | 0.413 | 0.699 |
| Callao | Female | 0.866 | 0.442 | 0.785 | 1.444 |
| Callao | Male | 1.012 | 0.462 | 0.740 | 1.345 |
| Cusco | Female | 0.760 | 0.251 | 0.367 | 0.945 |
| Cusco | Male | 0.971 | 0.297 | 0.397 | 0.788 |
| Huancavelica | Female | 1.042 | 0.375 | 0.429 | 0.768 |
| Huancavelica | Male | 1.333 | 0.337 | 0.474 | 0.670 |
| Huanuco | Female | 0.663 | 0.280 | 0.439 | 0.789 |
| Huanuco | Male | 0.708 | 0.293 | 0.396 | 0.683 |
| Ica | Female | 1.188 | 0.567 | 1.055 | 1.770 |
| Ica | Male | 1.367 | 0.587 | 1.085 | 1.544 |
| Junin | Female | 0.892 | 0.440 | 0.626 | 1.215 |
| Junin | Male | 1.087 | 0.527 | 0.604 | 1.051 |
| La Libertad | Female | 0.453 | 0.250 | 0.507 | 0.933 |
| La Libertad | Male | 0.597 | 0.293 | 0.526 | 0.836 |
| Lambayeque | Female | 0.515 | 0.232 | 0.467 | 0.992 |
| Lambayeque | Male | 0.578 | 0.238 | 0.498 | 0.784 |
| Lima | Female | 1.082 | 0.561 | 1.103 | 1.951 |
| Lima | Male | 1.342 | 0.594 | 1.201 | 1.851 |
| Loreto | Female | 0.732 | 0.475 | 0.477 | 0.800 |
| Loreto | Male | 0.730 | 0.365 | 0.452 | 0.555 |
| Madre De Dios | Female | 3.025 | 1.034 | 1.290 | 2.701 |
| Madre De Dios | Male | 2.887 | 1.277 | 1.307 | 1.968 |
| Moquegua | Female | 3.841 | 1.847 | 2.453 | 3.933 |
| Moquegua | Male | 4.528 | 2.089 | 2.461 | 3.956 |
| Pasco | Female | 1.714 | 0.487 | 0.626 | 1.255 |
| Pasco | Male | 1.780 | 0.533 | 0.696 | 1.046 |
| Piura | Female | 0.812 | 0.356 | 0.639 | 1.104 |
| Piura | Male | 0.836 | 0.407 | 0.714 | 0.912 |
| Puno | Female | 0.800 | 0.234 | 0.247 | 0.538 |
| Puno | Male | 1.021 | 0.277 | 0.288 | 0.453 |
| San Martin | Female | 1.265 | 0.555 | 0.554 | 1.200 |
| San Martin | Male | 1.390 | 0.544 | 0.592 | 0.798 |
| Tacna | Female | 1.885 | 0.784 | 1.567 | 2.435 |
| Tacna | Male | 2.039 | 0.929 | 1.473 | 2.215 |
| Tumbes | Female | 2.039 | 0.847 | 1.317 | 2.098 |
| Tumbes | Male | 2.218 | 1.002 | 1.244 | 1.674 |
| Ucayali | Female | 1.036 | 0.603 | 0.600 | 1.213 |
| Ucayali | Male | 1.211 | 0.518 | 0.678 | 1.005 |
Departamento y olas
| Departamento | 1 (Mar – Oct 2020) | 2 (Nov 2020 – Oct 2021) | 3 (Nov 2021 – Apr 2022) | 4 (May 2022 – Oct 2022) | 5 (Nov 2022 – Jun 2023) |
|---|---|---|---|---|---|
| Amazonas | 1.800 | 0.565 | 1.067 | 0.812 | 0.079 |
| Ancash | 0.640 | 0.636 | 2.125 | 1.280 | 0.365 |
| Apurimac | 0.492 | 0.532 | 1.290 | 0.825 | 0.106 |
| Arequipa | 0.627 | 0.773 | 3.446 | 2.049 | 0.412 |
| Ayacucho | 0.445 | 0.349 | 0.816 | 0.387 | 0.061 |
| Cajamarca | 0.513 | 0.431 | 0.820 | 0.608 | 0.037 |
| Callao | 0.798 | 0.966 | 1.404 | 0.562 | 0.190 |
| Cusco | 0.285 | 0.429 | 1.201 | 0.728 | 0.187 |
| Huancavelica | 0.710 | 0.201 | 1.072 | 0.496 | 0.132 |
| Huanuco | 0.684 | 0.248 | 0.875 | 0.411 | 0.087 |
| Ica | 1.653 | 0.615 | 2.331 | 1.113 | 0.335 |
| Junin | 0.467 | 0.735 | 1.461 | 1.109 | 0.202 |
| La Libertad | 0.418 | 0.378 | 1.321 | 0.647 | 0.139 |
| Lambayeque | 0.520 | 0.323 | 1.214 | 0.582 | 0.195 |
| Lima | 1.082 | 0.809 | 2.943 | 1.662 | 0.412 |
| Loreto | 1.057 | 0.405 | 0.515 | 0.267 | 0.043 |
| Madre De Dios | 2.737 | 0.732 | 1.022 | 1.772 | 0.494 |
| Moquegua | 2.671 | 1.996 | 5.052 | 3.654 | 0.887 |
| Pasco | 0.751 | 0.513 | 1.435 | 0.915 | 0.259 |
| Piura | 0.547 | 0.480 | 2.006 | 0.643 | 0.098 |
| Puno | 0.219 | 0.199 | 0.893 | 0.488 | 0.119 |
| San Martin | 1.104 | 0.669 | 0.583 | 0.600 | 0.146 |
| Tacna | 1.267 | 0.841 | 4.048 | 1.382 | 0.460 |
| Tumbes | 1.724 | 0.920 | 2.141 | 1.300 | 0.389 |
| Ucayali | 1.546 | 0.458 | 0.411 | 0.423 | 0.199 |
Regiones
| Region | Rate |
|---|---|
| Coast | 1.008 |
| Highlands | 0.488 |
| Jungle | 0.578 |
Macrorregión
| Macrorregion | Rate |
|---|---|
| Center | 0.833 |
| East | 0.555 |
| Metropolitan Lima and Callao | 1.126 |
| North | 0.564 |
| South | 0.784 |
Distrito y sexo
| Ubigeo | Departamento | Provincia | Distrito | Female | Male |
|---|---|---|---|---|---|
| 010611 | Amazonas | Rodriguez De Mendoza | Totora | 24.735 | 36.316 |
| 010503 | Amazonas | Luya | Cocabamba | NA | 2.481 |
| 020610 | Ancash | Carhuaz | Tinco | 2.571 | 3.203 |
| 022005 | Ancash | Yungay | Quillo | 0.376 | 0.773 |
| 030401 | Apurimac | Aymaraes | Chalhuanca | 4.480 | 2.090 |
| 030304 | Apurimac | Antabamba | Juan Espinoza Medrano | 4.294 | 4.658 |
| 040111 | Arequipa | Arequipa | Mollebaya | 1.943 | 1.523 |
| 040119 | Arequipa | Arequipa | San Juan De Tarucani | 6.593 | 5.028 |
| 050405 | Ayacucho | Huanta | Luricocha | 2.052 | 2.454 |
| 050701 | Ayacucho | Parinacochas | Coracora | 1.331 | 1.016 |
| 060203 | Cajamarca | Cajabamba | Condebamba | 0.788 | 0.934 |
| 060407 | Cajamarca | Chota | Cochabamba | 2.316 | 1.715 |
| 070102 | Callao | Callao | Bellavista | 4.073 | 4.150 |
| 070105 | Callao | Callao | La Punta | 6.824 | 6.899 |
| 080702 | Cusco | Chumbivilcas | Capacmarca | 1.946 | 3.652 |
| 080402 | Cusco | Calca | Coya | 2.558 | 1.585 |
| 090312 | Huancavelica | Angaraes | Secclla | 3.268 | 3.123 |
| 090722 | Huancavelica | Tayacaja | Pichos | 4.280 | 6.232 |
| 100101 | Huanuco | Huanuco | Huanuco | 0.844 | 0.865 |
| 100508 | Huanuco | Huamalies | Punchao | 1.835 | 1.927 |
| 110507 | Ica | Pisco | San Clemente | 0.816 | 0.959 |
| 110203 | Ica | Chincha | Chavin | 9.205 | 8.000 |
| 120203 | Junin | Concepcion | Andamarca | 0.979 | 1.201 |
| 120403 | Junin | Jauja | Apata | 2.323 | 2.686 |
| 130703 | La Libertad | Pacasmayo | Jequetepeque | 2.630 | 2.368 |
| 130906 | La Libertad | Sanchez Carrion | Sanagoran | 0.739 | 0.363 |
| 140120 | Lambayeque | Chiclayo | Tuman | 0.571 | 0.545 |
| 140203 | Lambayeque | Ferrenafe | Incahuasi | 0.406 | 0.292 |
| 150726 | Lima | Huarochiri | Sangallaya | 83.026 | 65.134 |
| 150902 | Lima | Oyon | Andajes | NA | 23.810 |
| 160104 | Loreto | Maynas | Indiana | 1.264 | 1.209 |
| 160107 | Loreto | Maynas | Napo | 3.407 | 3.594 |
| 170104 | Madre De Dios | Tambopata | Laberinto | 2.944 | 3.035 |
| 170301 | Madre De Dios | Tahuamanu | Inapari | 8.508 | 5.758 |
| 180211 | Moquegua | General Sanchez Cerro | Yunga | 13.158 | 12.442 |
| 180103 | Moquegua | Mariscal Nieto | Cuchumbaya | 32.520 | 14.813 |
| 190304 | Pasco | Oxapampa | Palcazu | 1.247 | 1.863 |
| 190102 | Pasco | Pasco | Huachon | 1.705 | 1.992 |
| 200704 | Piura | Talara | Lobitos | 12.709 | 6.821 |
| 200604 | Piura | Sullana | Lancones | 1.437 | 1.542 |
| 210606 | Puno | Huancane | Rosaspata | NA | 2.012 |
| 211207 | Puno | Sandia | San Juan Del Oro | NA | 2.206 |
| 220801 | San Martin | Rioja | Rioja | 1.942 | 1.700 |
| 220103 | San Martin | Moyobamba | Habana | 3.920 | 2.976 |
| 230101 | Tacna | Tacna | Tacna | 2.896 | 2.915 |
| 230106 | Tacna | Tacna | Pachia | 5.183 | 11.628 |
| 240104 | Tumbes | Tumbes | Pampas De Hospital | 3.231 | 3.748 |
| 240203 | Tumbes | Contralmirante Villar | Canoas De Punta Sal | 1.191 | 1.020 |
| 250305 | Ucayali | Padre Abad | Alexander Von Humboldt | 0.899 | 0.858 |
| 250303 | Ucayali | Padre Abad | Curimana | 2.193 | 1.950 |
Distrito y edad
| Ubigeo | Departamento | Provincia | Distrito | Under 1 Year | 1 - 5 Years | 6 - 11 Years | 12 - 17 Years |
|---|---|---|---|---|---|---|---|
| 010611 | Amazonas | Rodriguez De Mendoza | Totora | NA | NA | NA | 34.691 |
| 010503 | Amazonas | Luya | Cocabamba | NA | NA | NA | 3.846 |
| 020610 | Ancash | Carhuaz | Tinco | NA | 5.764 | 3.030 | 3.580 |
| 022005 | Ancash | Yungay | Quillo | NA | 0.715 | NA | 0.787 |
| 030401 | Apurimac | Aymaraes | Chalhuanca | 11.905 | 3.059 | 2.180 | 7.216 |
| 030304 | Apurimac | Antabamba | Juan Espinoza Medrano | NA | 4.673 | NA | 11.825 |
| 040111 | Arequipa | Arequipa | Mollebaya | 16.949 | 2.970 | 1.328 | 4.481 |
| 040119 | Arequipa | Arequipa | San Juan De Tarucani | NA | NA | 9.157 | 12.381 |
| 050405 | Ayacucho | Huanta | Luricocha | 8.130 | 3.266 | 2.010 | 3.484 |
| 050701 | Ayacucho | Parinacochas | Coracora | NA | 1.146 | 1.192 | 2.067 |
| 060203 | Cajamarca | Cajabamba | Condebamba | 4.691 | 0.702 | 1.475 | 1.157 |
| 060407 | Cajamarca | Chota | Cochabamba | 11.236 | 1.946 | 1.826 | 2.772 |
| 070102 | Callao | Callao | Bellavista | 4.602 | 2.672 | 4.106 | 6.111 |
| 070105 | Callao | Callao | La Punta | 19.608 | NA | 13.525 | 14.205 |
| 080702 | Cusco | Chumbivilcas | Capacmarca | NA | NA | 5.144 | 2.822 |
| 080402 | Cusco | Calca | Coya | NA | 3.058 | NA | 3.012 |
| 090312 | Huancavelica | Angaraes | Secclla | NA | 5.597 | 5.682 | 2.045 |
| 090722 | Huancavelica | Tayacaja | Pichos | NA | 4.348 | 29.046 | 6.703 |
| 100101 | Huanuco | Huanuco | Huanuco | 1.534 | 0.637 | 0.731 | 1.402 |
| 100508 | Huanuco | Huamalies | Punchao | 15.385 | 6.920 | NA | 3.058 |
| 110507 | Ica | Pisco | San Clemente | 2.003 | 0.808 | 1.129 | 1.400 |
| 110203 | Ica | Chincha | Chavin | NA | 18.109 | 14.454 | 11.111 |
| 120203 | Junin | Concepcion | Andamarca | 8.696 | NA | NA | 2.218 |
| 120403 | Junin | Jauja | Apata | NA | NA | 2.646 | 5.139 |
| 130703 | La Libertad | Pacasmayo | Jequetepeque | 15.179 | 2.928 | 3.027 | 3.915 |
| 130906 | La Libertad | Sanchez Carrion | Sanagoran | NA | 0.532 | 0.602 | 0.641 |
| 140120 | Lambayeque | Chiclayo | Tuman | 2.053 | 0.695 | 0.667 | 0.787 |
| 140203 | Lambayeque | Ferrenafe | Incahuasi | NA | NA | 0.590 | 0.524 |
| 150726 | Lima | Huarochiri | Sangallaya | 125.000 | 57.439 | 105.392 | 130.142 |
| 150902 | Lima | Oyon | Andajes | NA | NA | NA | 31.250 |
| 160104 | Loreto | Maynas | Indiana | 3.650 | 1.760 | 1.365 | 1.589 |
| 160107 | Loreto | Maynas | Napo | 9.907 | 5.460 | 3.771 | 3.805 |
| 170104 | Madre De Dios | Tambopata | Laberinto | 16.000 | 4.573 | 3.396 | 4.286 |
| 170301 | Madre De Dios | Tahuamanu | Inapari | 20.000 | 6.760 | 9.331 | 13.123 |
| 180211 | Moquegua | General Sanchez Cerro | Yunga | NA | 17.279 | 11.494 | 23.325 |
| 180103 | Moquegua | Mariscal Nieto | Cuchumbaya | NA | NA | 50.000 | 51.656 |
| 190304 | Pasco | Oxapampa | Palcazu | 5.872 | 1.312 | 1.726 | 2.797 |
| 190102 | Pasco | Pasco | Huachon | NA | 4.237 | 3.008 | 2.137 |
| 200704 | Piura | Talara | Lobitos | NA | NA | 8.264 | 18.895 |
| 200604 | Piura | Sullana | Lancones | 4.484 | 1.561 | 2.362 | 2.274 |
| 210606 | Puno | Huancane | Rosaspata | NA | NA | NA | 3.145 |
| 211207 | Puno | Sandia | San Juan Del Oro | 16.949 | NA | NA | 4.180 |
| 220801 | San Martin | Rioja | Rioja | 5.768 | 1.860 | 1.369 | 2.868 |
| 220103 | San Martin | Moyobamba | Habana | NA | 4.831 | 5.943 | 6.418 |
| 230101 | Tacna | Tacna | Tacna | 4.890 | 1.680 | 3.095 | 4.215 |
| 230106 | Tacna | Tacna | Pachia | 25.000 | 9.059 | 10.000 | 5.128 |
| 240104 | Tumbes | Tumbes | Pampas De Hospital | 8.352 | 3.956 | 4.532 | 4.919 |
| 240203 | Tumbes | Contralmirante Villar | Canoas De Punta Sal | NA | 1.439 | 1.761 | 1.992 |
| 250305 | Ucayali | Padre Abad | Alexander Von Humboldt | NA | NA | NA | 1.445 |
| 250303 | Ucayali | Padre Abad | Curimana | 14.620 | 3.092 | 1.793 | 2.774 |
Distrital y pobreza
| Variables | 1 N = 4181 |
2 N = 6461 |
3 N = 5311 |
4 N = 1011 |
Overall N = 1,6961 |
|---|---|---|---|---|---|
| prevalencia_promedio | 1.7 (1.0, 3.7) | 1.9 (1.0, 4.0) | 1.3 (0.8, 2.7) | 0.8 (0.5, 1.7) | 1.6 (0.9, 3.3) |
| departamento | |||||
| AMAZONAS | 2 (0.5%) | 37 (5.7%) | 33 (6.2%) | 2 (2.0%) | 74 (4.4%) |
| ANCASH | 15 (3.6%) | 68 (11%) | 55 (10%) | 10 (9.9%) | 148 (8.7%) |
| APURIMAC | 2 (0.5%) | 25 (3.9%) | 40 (7.5%) | 0 (0%) | 67 (4.0%) |
| AREQUIPA | 59 (14%) | 32 (5.0%) | 8 (1.5%) | 0 (0%) | 99 (5.8%) |
| AYACUCHO | 5 (1.2%) | 35 (5.4%) | 49 (9.2%) | 10 (9.9%) | 99 (5.8%) |
| CAJAMARCA | 1 (0.2%) | 11 (1.7%) | 51 (9.6%) | 53 (52%) | 116 (6.8%) |
| CALLAO | 4 (1.0%) | 2 (0.3%) | 0 (0%) | 0 (0%) | 6 (0.4%) |
| CUSCO | 13 (3.1%) | 54 (8.4%) | 38 (7.2%) | 1 (1.0%) | 106 (6.3%) |
| HUANCAVELICA | 5 (1.2%) | 41 (6.3%) | 37 (7.0%) | 3 (3.0%) | 86 (5.1%) |
| HUANUCO | 8 (1.9%) | 32 (5.0%) | 33 (6.2%) | 1 (1.0%) | 74 (4.4%) |
| ICA | 41 (9.8%) | 1 (0.2%) | 0 (0%) | 0 (0%) | 42 (2.5%) |
| JUNIN | 29 (6.9%) | 78 (12%) | 11 (2.1%) | 0 (0%) | 118 (7.0%) |
| LA LIBERTAD | 11 (2.6%) | 25 (3.9%) | 29 (5.5%) | 10 (9.9%) | 75 (4.4%) |
| LAMBAYEQUE | 23 (5.5%) | 12 (1.9%) | 2 (0.4%) | 1 (1.0%) | 38 (2.2%) |
| LIMA | 103 (25%) | 45 (7.0%) | 1 (0.2%) | 0 (0%) | 149 (8.8%) |
| LORETO | 2 (0.5%) | 12 (1.9%) | 38 (7.2%) | 1 (1.0%) | 53 (3.1%) |
| MADRE DE DIOS | 11 (2.6%) | 0 (0%) | 0 (0%) | 0 (0%) | 11 (0.6%) |
| MOQUEGUA | 11 (2.6%) | 8 (1.2%) | 0 (0%) | 0 (0%) | 19 (1.1%) |
| PASCO | 2 (0.5%) | 12 (1.9%) | 14 (2.6%) | 1 (1.0%) | 29 (1.7%) |
| PIURA | 13 (3.1%) | 27 (4.2%) | 20 (3.8%) | 4 (4.0%) | 64 (3.8%) |
| PUNO | 2 (0.5%) | 29 (4.5%) | 64 (12%) | 4 (4.0%) | 99 (5.8%) |
| SAN MARTIN | 21 (5.0%) | 48 (7.4%) | 7 (1.3%) | 0 (0%) | 76 (4.5%) |
| TACNA | 12 (2.9%) | 7 (1.1%) | 0 (0%) | 0 (0%) | 19 (1.1%) |
| TUMBES | 13 (3.1%) | 0 (0%) | 0 (0%) | 0 (0%) | 13 (0.8%) |
| UCAYALI | 10 (2.4%) | 5 (0.8%) | 1 (0.2%) | 0 (0%) | 16 (0.9%) |
| 1 Median (Q1, Q3); n (%) | |||||
Distrito Lima
| Ubigeo | Provincia | Distrito | Rate |
|---|---|---|---|
| 070101 | Callao | Callao | 0.801 |
| 070102 | Callao | Bellavista | 3.890 |
| 070104 | Callao | La Perla | 1.065 |
| 070105 | Callao | La Punta | 5.831 |
| 070106 | Callao | Ventanilla | 0.483 |
| 070107 | Callao | Mi Peru | 0.459 |
| 150101 | Lima | Lima | 5.294 |
| 150102 | Lima | Ancon | 0.439 |
| 150103 | Lima | Ate | 0.692 |
| 150104 | Lima | Barranco | 2.611 |
| 150105 | Lima | Brena | 1.485 |
| 150106 | Lima | Carabayllo | 0.445 |
| 150107 | Lima | Chaclacayo | 2.267 |
| 150108 | Lima | Chorrillos | 1.045 |
| 150109 | Lima | Cieneguilla | 0.987 |
| 150110 | Lima | Comas | 0.676 |
| 150111 | Lima | El Agustino | 1.038 |
| 150112 | Lima | Independencia | 0.723 |
| 150113 | Lima | Jesus Maria | 9.348 |
| 150114 | Lima | La Molina | 2.844 |
| 150115 | Lima | La Victoria | 1.459 |
| 150116 | Lima | Lince | 2.933 |
| 150117 | Lima | Los Olivos | 1.048 |
| 150118 | Lima | Lurigancho | 0.772 |
| 150119 | Lima | Lurin | 0.659 |
| 150120 | Lima | Magdalena Del Mar | 8.608 |
| 150121 | Lima | Pueblo Libre | 2.776 |
| 150122 | Lima | Miraflores | 4.366 |
| 150123 | Lima | Pachacamac | 0.943 |
| 150124 | Lima | Pucusana | 1.240 |
| 150125 | Lima | Puente Piedra | 0.425 |
| 150126 | Lima | Punta Hermosa | 0.929 |
| 150127 | Lima | Punta Negra | 1.820 |
| 150128 | Lima | Rimac | 1.172 |
| 150129 | Lima | San Bartolo | 2.044 |
| 150130 | Lima | San Borja | 3.594 |
| 150131 | Lima | San Isidro | 5.130 |
| 150132 | Lima | San Juan De Lurigancho | 0.550 |
| 150133 | Lima | San Juan De Miraflores | 0.827 |
| 150134 | Lima | San Luis | 1.712 |
| 150135 | Lima | San Martin De Porres | 0.726 |
| 150136 | Lima | San Miguel | 2.326 |
| 150137 | Lima | Santa Anita | 0.794 |
| 150138 | Lima | Santa Maria Del Mar | 5.405 |
| 150139 | Lima | Santa Rosa | 0.478 |
| 150140 | Lima | Santiago De Surco | 2.310 |
| 150141 | Lima | Surquillo | 2.539 |
| 150142 | Lima | Villa El Salvador | 0.735 |
| 150143 | Lima | Villa Maria Del Triunfo | 0.818 |
Fallecidos - Mortalidad
Vista general
Cálculo de mortalidad
Cálculo de letalidad
| Variables | N = 1,6161 | Average monthly mortality per 100K habitants | Average monthly lethality per 100 cases | Lethality per 100 cases |
|---|---|---|---|---|
| Overall | 1,616 (100%) | 0.412 | 1.310 | 0.513 |
| Age Group | ||||
| Under 1 year | 251 (16%) | 1.327 | 2.732 | 1.518 |
| 1 - 5 years | 496 (31%) | 0.470 | 2.765 | 1.088 |
| 6 - 11 years | 393 (24%) | 0.300 | 1.434 | 0.429 |
| 12 - 17 years | 476 (29%) | 0.375 | 0.793 | 0.295 |
| Sex | ||||
| Female | 729 (45%) | 0.374 | 1.145 | 0.457 |
| Male | 887 (55%) | 0.450 | 1.460 | 0.571 |
| COVID-19 wave | ||||
| 1 (Mar – Oct 2020) | 589 (36%) | 0.769 | 3.172 | 0.983 |
| 2 (Nov 2020 – Oct 2021) | 588 (36%) | 0.482 | 0.813 | 0.811 |
| 3 (Nov 2021 – Apr 2022) | 230 (14%) | 0.397 | 0.553 | 0.216 |
| 4 (May 2022 – Oct 2022) | 144 (8.9%) | 0.251 | 0.745 | 0.248 |
| 5 (Nov 2022 – Jun 2023) | 65 (4.0%) | 0.081 | 1.185 | 0.358 |
| Natural Regions | ||||
| Coast | 998 (62%) | 0.427 | 0.994 | 0.426 |
| Highlands | 366 (23%) | 0.351 | 1.244 | 0.678 |
| Jungle | 252 (16%) | 0.668 | 7.180 | 0.947 |
| Macroregions | ||||
| Center | 312 (19%) | 0.363 | 1.290 | 0.433 |
| East | 232 (14%) | 0.644 | 6.675 | 0.950 |
| Metropolitan Lima and Callao | 491 (30%) | 0.466 | 1.018 | 0.415 |
| North | 358 (22%) | 0.430 | 2.878 | 0.708 |
| South | 223 (14%) | 0.418 | 3.891 | 0.449 |
| Poverty level | ||||
| 1 (0-19.9%) | 1,022 (63%) | 0.470 | 1.024 | 0.438 |
| 2 (20-39.9%) | 388 (24%) | 0.394 | 1.337 | 0.780 |
| 3 (40-59.9%) | 174 (11%) | 0.395 | 5.777 | 1.155 |
| 4 (60-100%) | 32 (2.0%) | 0.642 | 18.733 | 2.168 |
| Unsatisfied basic needs level | ||||
| 1 (0-19.9%) | 727 (45%) | 0.434 | 0.933 | 0.384 |
| 2 (20-39.9%) | 567 (35%) | 0.404 | 1.598 | 0.700 |
| 3 (40-59.9%) | 219 (14%) | 0.490 | 4.290 | 1.218 |
| 4 (60-100%) | 103 (6.4%) | 0.529 | 3.670 | 0.927 |
| 1 n (%) | ||||
| Level | Group | Emmean | Se | Df | Lower.cl | Upper.cl | .Group |
|---|---|---|---|---|---|---|---|
| grupo_edad | 6 - 11 years | 0.300 | 0.106 | 110.010 | 0.090 | 0.510 | a |
| grupo_edad | 12 - 17 years | 0.366 | 0.107 | 111.863 | 0.154 | 0.578 | a |
| grupo_edad | 1 - 5 years | 0.458 | 0.108 | 113.597 | 0.243 | 0.673 | a |
| grupo_edad | Under 1 year | 1.314 | 0.109 | 115.492 | 1.097 | 1.530 | b |
| sexo | Female | 0.374 | 0.054 | 43.889 | 0.265 | 0.483 | a |
| sexo | Male | 0.450 | 0.054 | 43.889 | 0.341 | 0.559 | b |
| ola_covid | 5 (Nov 2022 – Jun 2023) | 0.081 | 0.089 | 35.000 | -0.099 | 0.262 | a |
| ola_covid | 4 (May 2022 – Oct 2022) | 0.251 | 0.102 | 35.000 | 0.043 | 0.459 | ab |
| ola_covid | 3 (Nov 2021 – Apr 2022) | 0.397 | 0.102 | 35.000 | 0.189 | 0.605 | abc |
| ola_covid | 2 (Nov 2020 – Oct 2021) | 0.482 | 0.072 | 35.000 | 0.334 | 0.629 | bc |
| ola_covid | 1 (Mar – Oct 2020) | 0.769 | 0.089 | 35.000 | 0.589 | 0.949 | c |
| cuartil_pobreza | 3 | 0.340 | 0.058 | 82.220 | 0.225 | 0.456 | a |
| cuartil_pobreza | 2 | 0.378 | 0.055 | 73.977 | 0.268 | 0.489 | a |
| cuartil_pobreza | 1 | 0.470 | 0.054 | 69.740 | 0.363 | 0.578 | a |
| cuartil_pobreza | 4 | 0.515 | 0.073 | 115.495 | 0.371 | 0.660 | a |
| cuartil_nbi | 2 | 0.404 | 0.057 | 54.319 | 0.289 | 0.519 | a |
| cuartil_nbi | 4 | 0.422 | 0.061 | 68.351 | 0.299 | 0.544 | a |
| cuartil_nbi | 3 | 0.433 | 0.059 | 61.864 | 0.314 | 0.552 | a |
| cuartil_nbi | 1 | 0.434 | 0.057 | 54.319 | 0.320 | 0.549 | a |
| region | Highlands | 0.337 | 0.069 | 70.603 | 0.200 | 0.474 | a |
| region | Coast | 0.427 | 0.067 | 66.848 | 0.293 | 0.562 | a |
| region | Jungle | 0.637 | 0.071 | 76.304 | 0.495 | 0.779 | b |
| macrorregion | Center | 0.355 | 0.064 | 75.310 | 0.227 | 0.483 | a |
| macrorregion | South | 0.359 | 0.067 | 85.511 | 0.226 | 0.492 | a |
| macrorregion | North | 0.404 | 0.065 | 78.327 | 0.275 | 0.534 | a |
| macrorregion | Metropolitan Lima and Callao | 0.466 | 0.064 | 73.873 | 0.339 | 0.593 | ab |
| macrorregion | East | 0.601 | 0.067 | 85.448 | 0.468 | 0.734 | b |
| Level | Group | Emmean | Se | Df | Lower.cl | Upper.cl | .Group |
|---|---|---|---|---|---|---|---|
| grupo_edad | 12 - 17 years | 0.818 | 0.563 | 61.198 | -0.307 | 1.943 | a |
| grupo_edad | 6 - 11 years | 1.434 | 0.560 | 60.258 | 0.314 | 2.554 | a |
| grupo_edad | 1 - 5 years | 2.793 | 0.565 | 62.246 | 1.663 | 3.923 | b |
| grupo_edad | Under 1 year | 2.804 | 0.568 | 63.288 | 1.669 | 3.940 | b |
| sexo | Female | 1.145 | 0.404 | 41.863 | 0.329 | 1.961 | a |
| sexo | Male | 1.460 | 0.404 | 41.863 | 0.644 | 2.276 | b |
| ola_covid | 3 (Nov 2021 – Apr 2022) | 0.553 | 1.019 | 35.000 | -1.515 | 2.622 | a |
| ola_covid | 4 (May 2022 – Oct 2022) | 0.745 | 1.019 | 35.000 | -1.324 | 2.813 | a |
| ola_covid | 2 (Nov 2020 – Oct 2021) | 0.813 | 0.720 | 35.000 | -0.649 | 2.276 | a |
| ola_covid | 5 (Nov 2022 – Jun 2023) | 1.185 | 0.882 | 35.000 | -0.606 | 2.976 | a |
| ola_covid | 1 (Mar – Oct 2020) | 3.172 | 0.882 | 35.000 | 1.380 | 4.963 | a |
| cuartil_pobreza | 1 | 1.024 | 2.302 | 117.775 | -3.536 | 5.583 | a |
| cuartil_pobreza | 2 | 1.587 | 2.426 | 118.396 | -3.216 | 6.391 | a |
| cuartil_pobreza | 3 | 5.946 | 2.571 | 119.031 | 0.854 | 11.037 | a |
| cuartil_pobreza | 4 | 19.005 | 3.625 | 119.774 | 11.828 | 26.182 | b |
| cuartil_nbi | 1 | 0.933 | 0.893 | 107.389 | -0.838 | 2.705 | a |
| cuartil_nbi | 2 | 1.598 | 0.893 | 107.389 | -0.173 | 3.369 | ab |
| cuartil_nbi | 4 | 4.093 | 1.078 | 126.981 | 1.961 | 6.226 | ab |
| cuartil_nbi | 3 | 4.261 | 0.985 | 118.693 | 2.311 | 6.210 | b |
| region | Coast | 0.994 | 1.204 | 91.731 | -1.397 | 3.385 | a |
| region | Highlands | 1.595 | 1.248 | 94.411 | -0.884 | 4.074 | a |
| region | Jungle | 7.179 | 1.316 | 98.629 | 4.569 | 9.790 | b |
| macrorregion | Metropolitan Lima and Callao | 1.018 | 1.471 | 120.832 | -1.894 | 3.931 | a |
| macrorregion | Center | 1.386 | 1.485 | 122.994 | -1.555 | 4.326 | a |
| macrorregion | North | 2.997 | 1.515 | 127.576 | -0.002 | 5.995 | ab |
| macrorregion | South | 4.224 | 1.585 | 136.923 | 1.089 | 7.358 | ab |
| macrorregion | East | 6.746 | 1.584 | 137.036 | 3.613 | 9.879 | b |
| Variables | 1 (Mar – Oct 2020) N = 5891 |
2 (Nov 2020 – Oct 2021) N = 5881 |
3 (Nov 2021 – Apr 2022) N = 2301 |
4 (May 2022 – Oct 2022) N = 1441 |
5 (Nov 2022 – Jun 2023) N = 651 |
|---|---|---|---|---|---|
| Overall | 589 (0.769) | 588 (0.482) | 230 (0.397) | 144 (0.251) | 65 (0.081) |
| Age Group | |||||
| Under 1 year | 80 (1.954) | 73 (1.099) | 53 (1.819) | 36 (1.498) | 9 (0.314) |
| 1 - 5 years | 199 (0.894) | 182 (0.541) | 63 (0.383) | 33 (0.242) | 19 (0.101) |
| 6 - 11 years | 160 (0.629) | 137 (0.336) | 51 (0.263) | 25 (0.130) | 20 (0.073) |
| 12 - 17 years | 150 (0.605) | 196 (0.478) | 63 (0.328) | 50 (0.266) | 17 (0.072) |
| Sex | |||||
| Female | 286 (0.756) | 246 (0.400) | 114 (0.396) | 59 (0.208) | 24 (0.061) |
| Male | 303 (0.782) | 342 (0.565) | 116 (0.399) | 85 (0.294) | 41 (0.101) |
| Natural Regions | |||||
| Coast | 361 (0.802) | 367 (0.505) | 135 (0.387) | 86 (0.250) | 49 (0.100) |
| Highlands | 104 (0.535) | 138 (0.379) | 73 (0.458) | 41 (0.259) | 10 (0.066) |
| Jungle | 124 (1.324) | 83 (0.762) | 22 (0.319) | 17 (0.289) | 6 (0.121) |
| Macroregions | |||||
| Center | 116 (0.665) | 103 (0.369) | 52 (0.409) | 28 (0.224) | 13 (0.089) |
| East | 117 (1.305) | 77 (0.740) | 18 (0.275) | 14 (0.250) | 6 (0.127) |
| Metropolitan Lima and Callao | 170 (0.870) | 175 (0.515) | 66 (0.417) | 46 (0.297) | 34 (0.151) |
| North | 126 (0.703) | 139 (0.509) | 52 (0.388) | 32 (0.288) | 9 (0.065) |
| South | 60 (0.472) | 94 (0.462) | 42 (0.543) | 24 (0.259) | 3 (0.096) |
| Poverty level | |||||
| 1 | 392 (0.926) | 361 (0.552) | 133 (0.399) | 87 (0.261) | 49 (0.104) |
| 2 | 142 (0.677) | 140 (0.422) | 58 (0.374) | 34 (0.267) | 14 (0.088) |
| 3 | 45 (0.420) | 72 (0.372) | 34 (0.473) | 21 (0.364) | 2 (0.173) |
| 4 | 10 (0.647) | 15 (0.622) | 5 (0.959) | 2 (0.384) | 0 |
| Unsatisfied basic needs level | |||||
| 1 | 258 (0.802) | 262 (0.514) | 106 (0.413) | 64 (0.249) | 37 (0.102) |
| 2 | 195 (0.702) | 198 (0.451) | 89 (0.434) | 60 (0.300) | 25 (0.091) |
| 3 | 87 (0.798) | 92 (0.510) | 23 (0.367) | 14 (0.225) | 3 (0.115) |
| 4 | 49 (0.865) | 36 (0.472) | 12 (0.351) | 6 (0.225) | 0 |
| 1 n (mortality) | |||||
Gráfico de muertes (serie de tiempo) - Menores de 18 años
Gráfico de muertes (serie de tiempo) - Grupo Etáreo
Gráfico Mortalidad (serie de tiempo)
Gráfico Letalidad (serie de tiempo)
No se está mostrando en la gráfica la información de marzo de 2020, debido a la enorme diferencia entre su valor de letalidad con respecto al resto de letalidades.
| anio | mes | grupo_edad | rate |
|---|---|---|---|
| 2020 | 3 | Under 1 year | 25.000 |
| 2020 | 3 | 1 - 5 years | 33.333 |
| 2020 | 3 | 6 - 11 years | 15.385 |
| 2020 | 3 | 12 - 17 years | 9.091 |
| 2020 | 4 | Under 1 year | 0.697 |
| 2020 | 4 | 1 - 5 years | 4.017 |
| 2020 | 4 | 6 - 11 years | 1.322 |
| 2020 | 4 | 12 - 17 years | 1.635 |
Pirámide frecuencia - Edades
Pirámide proporcional - Edades
Departamento
| Departamento | Rate |
|---|---|
| Amazonas | 1.018 |
| Ancash | 0.470 |
| Apurimac | 0.955 |
| Arequipa | 0.521 |
| Ayacucho | 0.534 |
| Cajamarca | 0.437 |
| Callao | 0.775 |
| Cusco | 0.552 |
| Huancavelica | 1.110 |
| Huanuco | 0.598 |
| Ica | 0.805 |
| Junin | 0.606 |
| La Libertad | 0.425 |
| Lambayeque | 0.831 |
| Lima | 0.465 |
| Loreto | 0.716 |
| Madre De Dios | 2.599 |
| Moquegua | 2.099 |
| Pasco | 1.457 |
| Piura | 0.662 |
| Puno | 0.641 |
| San Martin | 0.610 |
| Tacna | 1.519 |
| Tumbes | 1.710 |
| Ucayali | 2.335 |
Departamento y sexo
| Departamento | Female | Male |
|---|---|---|
| Amazonas | 1.692 | 1.371 |
| Ancash | 0.619 | 0.757 |
| Apurimac | 1.586 | 1.281 |
| Arequipa | 0.833 | 0.827 |
| Ayacucho | 1.074 | 0.915 |
| Cajamarca | 0.573 | 0.631 |
| Callao | 0.991 | 1.122 |
| Cusco | 0.698 | 0.767 |
| Huancavelica | 1.353 | 1.916 |
| Huanuco | 0.821 | 0.926 |
| Ica | 1.115 | 1.170 |
| Junin | 0.758 | 0.869 |
| La Libertad | 0.670 | 0.585 |
| Lambayeque | 0.986 | 1.203 |
| Lima | 0.467 | 0.524 |
| Loreto | 0.889 | 1.035 |
| Madre De Dios | 4.496 | 4.207 |
| Moquegua | 4.329 | 4.163 |
| Pasco | 2.594 | 2.841 |
| Piura | 0.797 | 0.827 |
| Puno | 1.036 | 0.772 |
| San Martin | 0.960 | 0.940 |
| Tacna | 3.037 | 2.526 |
| Tumbes | 3.753 | 2.597 |
| Ucayali | 3.125 | 2.848 |
Departamento y edad
| Departamento | Under 1 Year | 1 - 5 Years | 6 - 11 Years | 12 - 17 Years |
|---|---|---|---|---|
| Amazonas | 11.234 | 2.223 | 2.408 | 2.673 |
| Ancash | 5.072 | 1.272 | 0.876 | 0.952 |
| Apurimac | 12.428 | 3.131 | 1.776 | 2.317 |
| Arequipa | 6.678 | 1.082 | 0.978 | 1.198 |
| Ayacucho | 8.207 | 1.527 | 1.241 | 1.221 |
| Cajamarca | 5.587 | 0.772 | 0.662 | 0.757 |
| Callao | 7.197 | 1.412 | 1.267 | 1.480 |
| Cusco | 5.216 | 1.235 | 0.914 | 0.756 |
| Huancavelica | 12.845 | 3.703 | 2.122 | 2.469 |
| Huanuco | 7.352 | 1.739 | 1.092 | 1.341 |
| Ica | 9.803 | 1.789 | 1.204 | 1.225 |
| Junin | 4.985 | 1.114 | 0.817 | 0.802 |
| La Libertad | 4.217 | 0.809 | 0.775 | 0.800 |
| Lambayeque | 7.289 | 1.560 | 1.111 | 1.046 |
| Lima | 2.095 | 0.553 | 0.416 | 0.468 |
| Loreto | 4.486 | 1.198 | 0.950 | 1.401 |
| Madre De Dios | 45.537 | 6.442 | 5.939 | 6.484 |
| Moquegua | 43.234 | 7.552 | 6.114 | 6.429 |
| Pasco | 22.171 | 3.716 | 3.976 | 3.763 |
| Piura | 4.540 | 1.269 | 0.792 | 0.792 |
| Puno | 9.375 | 1.140 | 0.905 | 1.077 |
| San Martin | 5.910 | 1.618 | 1.118 | 1.165 |
| Tacna | 27.020 | NA | 3.144 | 3.646 |
| Tumbes | NA | 4.526 | 5.350 | 4.038 |
| Ucayali | 9.795 | 4.613 | 3.602 | 2.112 |
Departamento y olas
# A tibble: 150 × 3
ola_covid departamento rate
<fct> <chr> <dbl>
1 Overall AMAZONAS 1.02
2 Overall ANCASH 0.470
3 Overall APURIMAC 0.955
4 Overall AREQUIPA 0.521
5 Overall AYACUCHO 0.534
6 Overall CAJAMARCA 0.437
7 Overall CALLAO 0.775
8 Overall CUSCO 0.552
9 Overall HUANCAVELICA 1.11
10 Overall HUANUCO 0.598
# ℹ 140 more rows
| Departamento | Overall | 1st Wave | 2nd Wave | 3rd Wave | 4th Wave | 5th Wave |
|---|---|---|---|---|---|---|
| Amazonas | 1.018 | 1.511 | 1.115 | 0.770 | 0.604 | 0.611 |
| Ancash | 0.470 | 0.765 | 0.381 | 0.490 | 0.424 | 0.278 |
| Apurimac | 0.955 | 0.644 | 0.970 | 1.364 | 0.682 | NA |
| Arequipa | 0.521 | 0.465 | 0.690 | 0.450 | 0.249 | 0.234 |
| Ayacucho | 0.534 | 0.541 | 0.482 | 0.650 | 0.434 | 0.459 |
| Cajamarca | 0.437 | 0.469 | 0.434 | 0.547 | 0.393 | 0.277 |
| Callao | 0.775 | 0.761 | 0.957 | 0.695 | 0.697 | 0.349 |
| Cusco | 0.552 | 0.879 | 0.554 | 0.760 | 0.228 | 0.234 |
| Huancavelica | 1.110 | 1.762 | 0.976 | 0.918 | NA | 0.862 |
| Huanuco | 0.598 | 0.704 | 0.620 | 0.518 | 0.363 | 0.388 |
| Ica | 0.805 | 1.035 | 0.870 | 0.351 | 0.648 | 0.469 |
| Junin | 0.606 | 0.808 | 0.552 | 0.716 | 0.376 | NA |
| La Libertad | 0.425 | 0.699 | 0.304 | 0.545 | 0.297 | 0.164 |
| Lambayeque | 0.831 | 1.060 | 1.100 | 0.504 | 0.315 | 0.239 |
| Lima | 0.465 | 0.939 | 0.470 | 0.417 | 0.282 | 0.158 |
| Loreto | 0.716 | 1.158 | 0.668 | 0.547 | 0.240 | 0.227 |
| Madre De Dios | 2.599 | 2.331 | 3.118 | 3.580 | 1.790 | NA |
| Moquegua | 2.099 | 2.117 | 2.073 | 2.135 | 2.135 | NA |
| Pasco | 1.457 | 1.642 | 1.639 | 1.135 | NA | 1.136 |
| Piura | 0.662 | 0.871 | 0.738 | 0.430 | 0.345 | NA |
| Puno | 0.641 | 1.046 | 0.409 | 0.821 | 0.638 | 0.285 |
| San Martin | 0.610 | 0.776 | 0.737 | 0.320 | 0.630 | 0.305 |
| Tacna | 1.519 | 2.269 | 1.276 | 1.133 | NA | NA |
| Tumbes | 1.710 | 2.108 | 1.578 | 1.309 | 1.309 | 1.309 |
| Ucayali | 2.335 | 3.874 | 1.401 | NA | 0.683 | NA |
Regiones
| Region | Rate |
|---|---|
| Coast | 0.427 |
| Highlands | 0.351 |
| Jungle | 0.668 |
Macrorregiones
| Macrorregion | Rate |
|---|---|
| Center | 0.363 |
| East | 0.644 |
| Metropolitan Lima and Callao | 0.466 |
| North | 0.430 |
| South | 0.418 |
Macrorregiones - Letalidad
Distrital y pobreza
Distrito Lima
| Ubigeo | Provincia | Distrito | Rate |
|---|---|---|---|
| 070101 | Callao | Callao | 1.491 |
| 070102 | Callao | Bellavista | 6.214 |
| 070103 | Callao | Carmen De La Legua Reynoso | 9.212 |
| 070104 | Callao | La Perla | 8.304 |
| 070105 | Callao | La Punta | 191.205 |
| 070106 | Callao | Ventanilla | 1.009 |
| 070107 | Callao | Mi Peru | 7.510 |
| 150101 | Lima | Lima | 2.874 |
| 150102 | Lima | Ancon | 5.237 |
| 150103 | Lima | Ate | 0.808 |
| 150104 | Lima | Barranco | 16.049 |
| 150105 | Lima | Brena | 6.917 |
| 150106 | Lima | Carabayllo | 1.115 |
| 150107 | Lima | Chaclacayo | 8.199 |
| 150108 | Lima | Chorrillos | 1.506 |
| 150109 | Lima | Cieneguilla | 9.741 |
| 150110 | Lima | Comas | 0.828 |
| 150111 | Lima | El Agustino | 2.655 |
| 150112 | Lima | Independencia | 2.099 |
| 150113 | Lima | Jesus Maria | 6.746 |
| 150114 | Lima | La Molina | 2.613 |
| 150115 | Lima | La Victoria | 3.441 |
| 150116 | Lima | Lince | 13.056 |
| 150117 | Lima | Los Olivos | 1.515 |
| 150118 | Lima | Lurigancho | 1.646 |
| 150119 | Lima | Lurin | 3.601 |
| 150120 | Lima | Magdalena Del Mar | 7.306 |
| 150122 | Lima | Miraflores | 6.576 |
| 150123 | Lima | Pachacamac | 2.613 |
| 150125 | Lima | Puente Piedra | 1.150 |
| 150128 | Lima | Rimac | 3.141 |
| 150130 | Lima | San Borja | 5.662 |
| 150132 | Lima | San Juan De Lurigancho | 0.751 |
| 150133 | Lima | San Juan De Miraflores | 1.427 |
| 150134 | Lima | San Luis | 7.285 |
| 150135 | Lima | San Martin De Porres | 0.871 |
| 150136 | Lima | San Miguel | 3.206 |
| 150137 | Lima | Santa Anita | 2.004 |
| 150140 | Lima | Santiago De Surco | 1.665 |
| 150141 | Lima | Surquillo | 5.151 |
| 150142 | Lima | Villa El Salvador | 0.997 |
| 150143 | Lima | Villa Maria Del Triunfo | 1.195 |
Incidencia mensual del COVID-19
Los datos utilizados para incidencia positivos tienen datos hasta julio de 2023. Se tiene registro de 315 046 casos positivos menores de 18 años. Para poder analizar la incidencia necesitamos saber que si un caso positivos es nuevo o es una reinfección que no se puede considerar aún como caso nuevo. Se tendrá como criterio 3 meses de espacio entre infecciones. Lamentablemente, incluso en estos datos, hay 12 495 registros sin id_persona.
Criterios para casos positivos y de reinfección:
- Hasta 1 mes (30 días), se considera una misma infección.
- Espacio de 3 meses a más (90 días), se considera una nueva infección (reinfección)
- Reportar cantidad de casos que se encuentren entre 1 mes y menos de 3 meses (entre día 31 y 89), con su respectivo método.
# Source: SQL [?? x 2]
# Database: DuckDB v1.2.0 [brian@Windows 10 x64:R 4.4.2/D:\Github\covid-analisis-ninos\01_data\raw\covid.duckdb]
caso_intermedio n
<lgl> <dbl>
1 FALSE 302236
2 TRUE 245
3 NA 12565
Tasa de hospitalización
Vista general
Cálculo de Tasa de hospitalización
| Variables | N = 6,9361 | Hospital admission rate per 100 cases |
|---|---|---|
| Overall | 6,936 (100%) | 2.202 |
| Age Group | ||
| Under 1 year | 0 (0%) | |
| 1 - 5 years | 2,350 (34%) | 5.157 |
| 6 - 11 years | 2,637 (38%) | 2.877 |
| 12 - 17 years | 1,949 (28%) | 1.208 |
| Sex | ||
| Female | 3,097 (45%) | 1.941 |
| Male | 3,839 (55%) | 2.469 |
| COVID-19 wave | ||
| 1 (Mar – Oct 2020) | 1,217 (18%) | 2.032 |
| 2 (Nov 2020 – Oct 2021) | 2,326 (34%) | 3.210 |
| 3 (Nov 2021 – Apr 2022) | 2,018 (29%) | 1.899 |
| 4 (May 2022 – Oct 2022) | 1,075 (15%) | 1.848 |
| 5 (Nov 2022 – Jun 2023) | 300 (4.3%) | 1.654 |
| Natural Regions | ||
| Coast | 5,368 (77%) | 2.289 |
| Highlands | 917 (13%) | 1.700 |
| Jungle | 651 (9.4%) | 2.445 |
| Macroregions | ||
| Center | 1,053 (15%) | 1.462 |
| East | 613 (8.8%) | 2.510 |
| Metropolitan Lima and Callao | 4,202 (61%) | 3.550 |
| North | 633 (9.1%) | 1.252 |
| South | 435 (6.3%) | 0.876 |
| Poverty level | ||
| 1 (0-19.9%) | 4,323 (62%) | 1.852 |
| 2 (20-39.9%) | 2,217 (32%) | 4.458 |
| 3 (40-59.9%) | 342 (4.9%) | 2.270 |
| 4 (60-100%) | 54 (0.8%) | 3.659 |
| Unsatisfied basic needs level | ||
| 1 (0-19.9%) | 4,129 (60%) | 2.178 |
| 2 (20-39.9%) | 2,146 (31%) | 2.650 |
| 3 (40-59.9%) | 440 (6.3%) | 2.447 |
| 4 (60-100%) | 221 (3.2%) | 1.988 |
| 1 n (%) | ||
| Level | Group | Emmean | Se | Df | Lower.cl | Upper.cl | .Group |
|---|---|---|---|---|---|---|---|
| grupo_edad | 12 - 17 years | 2.063 | 1.470 | 86.747 | -0.859 | 4.984 | a |
| grupo_edad | 6 - 11 years | 7.977 | 1.456 | 85.302 | 5.083 | 10.872 | b |
| grupo_edad | 1 - 5 years | 12.285 | 1.456 | 85.302 | 9.390 | 15.179 | c |
| sexo | Female | 4.231 | 0.683 | 40.574 | 2.852 | 5.610 | a |
| sexo | Male | 5.036 | 0.683 | 40.574 | 3.657 | 6.415 | b |
| ola_covid | 1 (Mar – Oct 2020) | 2.185 | 1.459 | 35.000 | -0.776 | 5.146 | a |
| ola_covid | 2 (Nov 2020 – Oct 2021) | 3.980 | 1.191 | 35.000 | 1.562 | 6.397 | a |
| ola_covid | 5 (Nov 2022 – Jun 2023) | 4.597 | 1.459 | 35.000 | 1.636 | 7.558 | a |
| ola_covid | 3 (Nov 2021 – Apr 2022) | 6.695 | 1.684 | 35.000 | 3.276 | 10.114 | a |
| ola_covid | 4 (May 2022 – Oct 2022) | 7.150 | 1.684 | 35.000 | 3.731 | 10.569 | a |
| cuartil_pobreza | 1 | 4.162 | 3.185 | 115.095 | -2.148 | 10.472 | a |
| cuartil_pobreza | 3 | 5.027 | 3.471 | 122.597 | -1.845 | 11.898 | a |
| cuartil_pobreza | 2 | 9.025 | 3.223 | 115.880 | 2.641 | 15.409 | a |
| cuartil_pobreza | 4 | 21.189 | 3.861 | 129.645 | 13.550 | 28.827 | b |
| cuartil_nbi | 3 | 3.924 | 1.420 | 116.753 | 1.113 | 6.736 | a |
| cuartil_nbi | 1 | 5.111 | 1.360 | 110.055 | 2.416 | 7.806 | a |
| cuartil_nbi | 2 | 5.182 | 1.360 | 110.055 | 2.487 | 7.877 | a |
| cuartil_nbi | 4 | 7.993 | 1.453 | 120.380 | 5.117 | 10.870 | a |
| region | Highlands | 2.984 | 1.076 | 100.027 | 0.849 | 5.120 | a |
| region | Coast | 5.393 | 1.064 | 99.517 | 3.283 | 7.503 | a |
| region | Jungle | 5.597 | 1.163 | 104.145 | 3.291 | 7.903 | a |
| macrorregion | North | 2.522 | 1.740 | 152.325 | -0.917 | 5.960 | a |
| macrorregion | Center | 2.794 | 1.741 | 151.995 | -0.645 | 6.233 | a |
| macrorregion | South | 4.057 | 1.718 | 150.773 | 0.663 | 7.451 | a |
| macrorregion | East | 5.781 | 1.814 | 157.606 | 2.199 | 9.363 | ab |
| macrorregion | Metropolitan Lima and Callao | 10.155 | 1.655 | 146.304 | 6.884 | 13.425 | b |
| Variables | 1 (Mar – Oct 2020) N = 1,2171 |
2 (Nov 2020 – Oct 2021) N = 2,3261 |
3 (Nov 2021 – Apr 2022) N = 2,0181 |
4 (May 2022 – Oct 2022) N = 1,0751 |
5 (Nov 2022 – Jun 2023) N = 3001 |
|---|---|---|---|---|---|
| Overall | 1,217 (2.032) | 2,326 (3.210) | 2,018 (1.899) | 1,075 (1.848) | 300 (1.654) |
| Age Group | |||||
| Under 1 year | 0 | 0 | 0 | 0 | 0 |
| 1 - 5 years | 246 (1.945) | 654 (7.166) | 846 (5.349) | 498 (8.037) | 106 (5.952) |
| 6 - 11 years | 522 (3.190) | 926 (5.295) | 673 (1.781) | 372 (2.245) | 144 (4.199) |
| 12 - 17 years | 449 (1.747) | 746 (1.728) | 499 (1.036) | 205 (0.621) | 50 (0.448) |
| Sex | |||||
| Female | 537 (1.732) | 1,007 (2.760) | 898 (1.686) | 499 (1.685) | 156 (1.695) |
| Male | 680 (2.354) | 1,319 (3.665) | 1,120 (2.111) | 576 (2.017) | 144 (1.611) |
| Natural Regions | |||||
| Coast | 742 (1.890) | 1,727 (3.400) | 1,669 (1.964) | 958 (2.150) | 272 (1.833) |
| Highlands | 190 (2.057) | 340 (2.299) | 283 (1.664) | 83 (0.799) | 21 (0.833) |
| Jungle | 285 (2.501) | 259 (3.760) | 66 (1.529) | 34 (1.048) | 7 (0.896) |
| Macroregions | |||||
| Center | 191 (1.460) | 315 (1.857) | 345 (1.423) | 185 (1.397) | 17 (0.378) |
| East | 270 (2.587) | 246 (3.807) | 65 (1.634) | 25 (0.878) | 7 (1.003) |
| Metropolitan Lima and Callao | 481 (2.344) | 1,404 (5.263) | 1,311 (3.226) | 761 (3.324) | 245 (3.220) |
| North | 192 (2.088) | 220 (1.885) | 164 (0.867) | 44 (0.509) | 13 (0.613) |
| South | 83 (1.247) | 141 (1.318) | 133 (0.718) | 60 (0.568) | 18 (0.560) |
| Poverty level | |||||
| 1 | 861 (2.057) | 1,481 (2.908) | 1,144 (1.407) | 597 (1.324) | 240 (1.702) |
| 2 | 285 (2.509) | 684 (5.128) | 758 (5.080) | 440 (5.586) | 50 (2.244) |
| 3 | 59 (1.375) | 135 (3.234) | 105 (2.575) | 34 (1.603) | 9 (2.261) |
| 4 | 12 (3.750) | 26 (6.103) | 11 (3.056) | 4 (1.361) | 1 (1.316) |
| Unsatisfied basic needs level | |||||
| 1 | 554 (1.837) | 1,397 (3.396) | 1,236 (1.820) | 708 (1.852) | 234 (1.937) |
| 2 | 434 (2.397) | 669 (3.419) | 671 (2.614) | 324 (2.375) | 48 (1.208) |
| 3 | 173 (3.559) | 151 (2.898) | 77 (1.577) | 27 (1.084) | 12 (2.251) |
| 4 | 56 (1.188) | 109 (3.689) | 34 (1.541) | 16 (1.562) | 6 (2.791) |
| 1 n (HAR per 100 cases) | |||||
Gráfico de hospitalización (serie de tiempo) - Menores de 18 años
Gráfico Tasa de hospitalización (serie de tiempo)
Pirámide frecuencia - Edades
Pirámide proporcional - Edades
Tasa de Hospitalización
Departamento
| Departamento | Rate |
|---|---|
| Amazonas | 1.577 |
| Ancash | 4.497 |
| Apurimac | 1.874 |
| Arequipa | 0.104 |
| Ayacucho | 0.492 |
| Cajamarca | 3.227 |
| Callao | 2.164 |
| Cusco | 2.764 |
| Huancavelica | 2.102 |
| Huanuco | 1.501 |
| Ica | 0.466 |
| Junin | 0.829 |
| La Libertad | 0.201 |
| Lambayeque | 0.475 |
| Lima | 3.207 |
| Loreto | 0.643 |
| Madre De Dios | 1.725 |
| Moquegua | 0.537 |
| Pasco | 1.452 |
| Piura | 1.511 |
| Puno | 0.307 |
| San Martin | 4.209 |
| Tacna | 0.498 |
| Tumbes | 0.299 |
| Ucayali | 3.933 |
Departamento y Sexo
Departamento y Edad
Departamento y Olas
Region
Macrorregión
Distrital y pobreza
Distrito Lima
| Ubigeo | Provincia | Distrito | Rate |
|---|---|---|---|
| 070101 | Callao | Callao | 2.327 |
| 070102 | Callao | Bellavista | 0.870 |
| 070103 | Callao | Carmen De La Legua Reynoso | NA |
| 070104 | Callao | La Perla | 0.937 |
| 070106 | Callao | Ventanilla | 3.471 |
| 070107 | Callao | Mi Peru | 3.256 |
| 150101 | Lima | Lima | 3.184 |
| 150102 | Lima | Ancon | 4.301 |
| 150103 | Lima | Ate | 2.615 |
| 150104 | Lima | Barranco | 0.951 |
| 150105 | Lima | Brena | 16.426 |
| 150106 | Lima | Carabayllo | 2.786 |
| 150107 | Lima | Chaclacayo | 0.620 |
| 150108 | Lima | Chorrillos | 1.923 |
| 150109 | Lima | Cieneguilla | 3.906 |
| 150110 | Lima | Comas | 2.839 |
| 150111 | Lima | El Agustino | 1.860 |
| 150112 | Lima | Independencia | 5.366 |
| 150113 | Lima | Jesus Maria | 0.384 |
| 150114 | Lima | La Molina | 0.292 |
| 150115 | Lima | La Victoria | 2.023 |
| 150116 | Lima | Lince | 1.149 |
| 150117 | Lima | Los Olivos | 3.042 |
| 150118 | Lima | Lurigancho | 2.291 |
| 150119 | Lima | Lurin | 14.056 |
| 150120 | Lima | Magdalena Del Mar | 0.251 |
| 150121 | Lima | Pueblo Libre | 0.496 |
| 150122 | Lima | Miraflores | 0.357 |
| 150123 | Lima | Pachacamac | 7.502 |
| 150124 | Lima | Pucusana | 13.415 |
| 150125 | Lima | Puente Piedra | 5.234 |
| 150126 | Lima | Punta Hermosa | 13.253 |
| 150127 | Lima | Punta Negra | 6.098 |
| 150128 | Lima | Rimac | 7.053 |
| 150129 | Lima | San Bartolo | 9.821 |
| 150130 | Lima | San Borja | 1.491 |
| 150131 | Lima | San Isidro | 0.195 |
| 150132 | Lima | San Juan De Lurigancho | 4.658 |
| 150133 | Lima | San Juan De Miraflores | 3.851 |
| 150134 | Lima | San Luis | 1.077 |
| 150135 | Lima | San Martin De Porres | 5.082 |
| 150136 | Lima | San Miguel | 0.787 |
| 150137 | Lima | Santa Anita | 2.585 |
| 150138 | Lima | Santa Maria Del Mar | 5.263 |
| 150139 | Lima | Santa Rosa | 6.742 |
| 150140 | Lima | Santiago De Surco | 0.482 |
| 150141 | Lima | Surquillo | 1.001 |
| 150142 | Lima | Villa El Salvador | 31.365 |
| 150143 | Lima | Villa Maria Del Triunfo | 7.358 |
Tasa de Vacunación
Vista General
Cálculo de tasa de vacunación
| Variables | N = 16,440,1451 | Vaccine dose rate per 1,000 inhabitants |
|---|---|---|
| Overall | 16,440,145 (100%) | 55.895 |
| Age Group | ||
| Under 1 year | 1,197 (<0.1%) | 0.129 |
| 1 - 5 years | 1,551,218 (9.4%) | 19.696 |
| 6 - 11 years | 6,497,774 (40%) | 69.704 |
| 12 - 17 years | 8,389,956 (51%) | 83.420 |
| Sex | ||
| Female | 8,274,543 (50%) | 58.273 |
| Male | 8,165,602 (50%) | 55.469 |
| COVID-19 wave | ||
| 1 (Mar – Oct 2020) | 0 (0%) | |
| 2 (Nov 2020 – Oct 2021) | 624,089 (3.8%) | 6.055 |
| 3 (Nov 2021 – Apr 2022) | 11,485,397 (70%) | 194.523 |
| 4 (May 2022 – Oct 2022) | 3,159,814 (19%) | 55.161 |
| 5 (Nov 2022 – Jun 2023) | 1,170,845 (7.1%) | 14.774 |
| Natural Regions | ||
| Coast | 10,929,273 (66%) | 61.803 |
| Highlands | 3,816,009 (23%) | 47.822 |
| Jungle | 1,694,863 (10%) | 51.057 |
| Macroregions | ||
| Center | 3,807,667 (23%) | 60.850 |
| East | 1,623,558 (9.9%) | 51.312 |
| Metropolitan Lima and Callao | 4,992,488 (30%) | 61.590 |
| North | 3,914,033 (24%) | 60.102 |
| South | 2,102,399 (13%) | 45.287 |
| Poverty level | ||
| 1 (0-19.9%) | 10,203,044 (62%) | 61.242 |
| 2 (20-39.9%) | 4,175,432 (25%) | 54.832 |
| 3 (40-59.9%) | 1,680,893 (10%) | 45.605 |
| 4 (60-100%) | 376,414 (2.3%) | 49.542 |
| No data | 4,362 | |
| Unsatisfied basic needs level | ||
| 1 (0-19.9%) | 7,820,622 (48%) | 60.664 |
| 2 (20-39.9%) | 5,937,285 (36%) | 59.327 |
| 3 (40-59.9%) | 1,846,848 (11%) | 48.271 |
| 4 (60-100%) | 831,028 (5.1%) | 41.112 |
| No data | 4,362 | |
| Doses | ||
| 1 | 7,457,839 (45%) | 25.228 |
| 2 | 6,341,776 (39%) | 22.241 |
| 3 | 2,640,530 (16%) | 9.823 |
| 1 n (%) | ||
| Level | Group | Emmean | Se | Df | Lower.cl | Upper.cl | .Group |
|---|---|---|---|---|---|---|---|
| grupo_edad | Under 1 year | -1.850 | 30.199 | 100.999 | -61.757 | 58.056 | a |
| grupo_edad | 1 - 5 years | 19.599 | 23.137 | 100.760 | -26.299 | 65.497 | a |
| grupo_edad | 6 - 11 years | 69.607 | 23.137 | 100.760 | 23.709 | 115.506 | a |
| grupo_edad | 12 - 17 years | 83.420 | 22.748 | 100.746 | 38.292 | 128.548 | a |
| sexo | Male | 55.469 | 14.992 | 29.007 | 24.806 | 86.132 | a |
| sexo | Female | 56.361 | 14.993 | 29.008 | 25.698 | 87.024 | b |
| ola_covid | 2 (Nov 2020 – Oct 2021) | 6.055 | 12.693 | 26.000 | -20.037 | 32.146 | a |
| ola_covid | 5 (Nov 2022 – Jun 2023) | 14.774 | 14.192 | 26.000 | -14.397 | 43.945 | a |
| ola_covid | 4 (May 2022 – Oct 2022) | 55.161 | 16.387 | 26.000 | 21.477 | 88.845 | a |
| ola_covid | 3 (Nov 2021 – Apr 2022) | 194.523 | 16.387 | 26.000 | 160.839 | 228.207 | b |
| cuartil_pobreza | 3 | 43.713 | 13.505 | 34.298 | 16.277 | 71.149 | a |
| cuartil_pobreza | 4 | 43.757 | 13.575 | 34.985 | 16.198 | 71.317 | a |
| cuartil_pobreza | 2 | 52.940 | 13.505 | 34.298 | 25.504 | 80.376 | ab |
| cuartil_pobreza | 1 | 61.242 | 13.459 | 33.876 | 33.887 | 88.598 | b |
| cuartil_nbi | 4 | 39.234 | 13.764 | 34.215 | 11.268 | 67.200 | a |
| cuartil_nbi | 3 | 46.392 | 13.764 | 34.215 | 18.426 | 74.358 | ab |
| cuartil_nbi | 2 | 57.448 | 13.764 | 34.215 | 29.482 | 85.414 | b |
| cuartil_nbi | 1 | 60.664 | 13.719 | 33.801 | 32.779 | 88.550 | b |
| region | Highlands | 45.855 | 14.347 | 32.398 | 16.646 | 75.064 | a |
| region | Jungle | 49.090 | 14.347 | 32.398 | 19.881 | 78.299 | ab |
| region | Coast | 61.803 | 14.310 | 32.093 | 32.658 | 90.949 | b |
| macrorregion | South | 43.311 | 14.939 | 32.683 | 12.906 | 73.716 | a |
| macrorregion | East | 49.335 | 14.939 | 32.683 | 18.930 | 79.740 | ab |
| macrorregion | North | 58.125 | 14.939 | 32.683 | 27.720 | 88.530 | ab |
| macrorregion | Center | 58.873 | 14.939 | 32.683 | 28.468 | 89.278 | ab |
| macrorregion | Metropolitan Lima and Callao | 61.590 | 14.905 | 32.399 | 31.245 | 91.936 | b |
| Variables | 1 (Mar – Oct 2020) N = 01 |
2 (Nov 2020 – Oct 2021) N = 624,0891 |
3 (Nov 2021 – Apr 2022) N = 11,485,3971 |
4 (May 2022 – Oct 2022) N = 3,159,8141 |
5 (Nov 2022 – Jun 2023) N = 1,170,8451 |
|---|---|---|---|---|---|
| Overall | 0 | 624,089 (6.055) | 11,485,397 (194.523) | 3,159,814 (55.161) | 1,170,845 (14.774) |
| Age Group | |||||
| Under 1 year | 0 | 869 (0.172) | 325 (0.105) | 3 (0.003) | 0 |
| 1 - 5 years | 0 | 186 (0.007) | 669,736 (40.901) | 301,108 (18.389) | 580,188 (26.922) |
| 6 - 11 years | 0 | 1,921 (0.062) | 4,863,069 (253.116) | 1,215,863 (63.292) | 416,921 (15.303) |
| 12 - 17 years | 0 | 621,113 (17.799) | 5,952,267 (291.382) | 1,642,840 (87.311) | 173,736 (6.556) |
| Sex | |||||
| Female | 0 | 319,569 (6.788) | 5,752,001 (194.600) | 1,610,222 (56.665) | 592,751 (15.155) |
| Male | 0 | 304,520 (5.999) | 5,733,396 (194.462) | 1,549,592 (53.680) | 578,094 (14.403) |
| Natural Regions | |||||
| Coast | 0 | 434,934 (7.062) | 7,791,974 (220.072) | 1,943,551 (56.447) | 758,814 (15.546) |
| Highlands | 0 | 181,258 (6.545) | 2,532,616 (151.066) | 819,090 (51.827) | 283,045 (13.824) |
| Jungle | 0 | 7,897 (0.819) | 1,160,807 (171.501) | 397,173 (56.355) | 128,986 (13.269) |
| Macroregions | |||||
| Center | 0 | 130,600 (6.142) | 2,519,235 (192.206) | 846,044 (67.755) | 311,788 (18.701) |
| East | 0 | 7,857 (0.853) | 1,112,025 (172.244) | 378,698 (56.416) | 124,978 (13.549) |
| Metropolitan Lima and Callao | 0 | 119,044 (4.071) | 3,749,618 (230.373) | 783,267 (50.570) | 340,559 (15.168) |
| North | 0 | 144,791 (7.057) | 2,742,763 (203.584) | 748,123 (56.098) | 278,356 (15.169) |
| South | 0 | 221,797 (14.350) | 1,361,756 (141.439) | 403,682 (43.595) | 115,164 (9.248) |
| Poverty level | |||||
| 1 | 0 | 523,019 (9.530) | 7,216,622 (217.375) | 1,835,414 (54.987) | 627,989 (13.475) |
| 2 | 0 | 79,590 (3.161) | 2,912,849 (183.582) | 848,412 (55.497) | 334,581 (15.901) |
| 3 | 0 | 17,460 (1.157) | 1,100,108 (137.405) | 395,854 (57.159) | 167,471 (18.094) |
| 4 | 0 | 3,483 (1.444) | 252,952 (144.811) | 79,357 (50.759) | 40,622 (19.264) |
| No data | 0 | 537 | 2,866 | 777 | 182 |
| Unsatisfied basic needs level | |||||
| 1 | 0 | 448,134 (10.420) | 5,546,126 (215.620) | 1,348,320 (52.529) | 478,042 (13.355) |
| 2 | 0 | 137,619 (4.134) | 4,158,423 (199.297) | 1,182,153 (59.028) | 459,090 (16.666) |
| 3 | 0 | 25,548 (1.858) | 1,247,998 (154.133) | 419,836 (56.330) | 153,466 (15.044) |
| 4 | 0 | 12,251 (1.745) | 529,984 (124.635) | 208,728 (52.083) | 80,065 (14.530) |
| No data | 0 | 537 | 2,866 | 777 | 182 |
| Doses | |||||
| 1 | 0 | 539,332 (5.233) | 5,964,066 (101.031) | 500,204 (8.732) | 454,237 (5.742) |
| 2 | 0 | 84,696 (0.913) | 5,244,815 (88.669) | 710,017 (12.395) | 302,248 (3.797) |
| 3 | 0 | 61 (0.001) | 276,516 (4.824) | 1,949,593 (34.034) | 414,360 (5.235) |
| 1 n (Vaccine dose rate per 1,000 inhabitants) | |||||
Gráfico de vacunación (serie de tiempo) - Menores de 18 años
Se restringió la visualización de dosis de 1 a 5.











































































